
1.1出力和位移的关系
(1.0.1)
(1.0.2)
图 1.1 压电陶瓷的纵向效应和横向效应
如果没有特别提出,我们说的压电效应都是指纵向效应。但是对于横向效应,所有的关系可以以相同的方式表述。
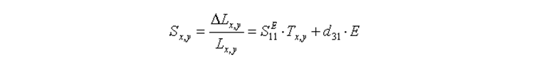
(1.0.3)
1.2没有电压施加到制动器,E=0
(1.1.1)
1.3无外力,F=0
(1.2.1)


